Skip to main content
University of California San Francisco
UCSF Health
Search UCSF
About UCSF
Give to UCSF
PEM Drive
Search
Main navigation
Home
Oakland
Administrative
Community Emergency Department Phone Numbers
Disaster
Important Direct Provide Numbers
Important Hospital Numbers
Physician Administrator Responsibilities
Retriage
Abuse
OAK: NAT Guidelines
Admissions
Viral Testing Indications for Admissions
Behavioral Health/Psych
Oak: Medications for Acute Agitation in Children – Pharmacy Tip Sheet
Dental
Airway
FB: Esophageal/Airway
Gastrointestinal
Acute Vomiting and Dehydration
Cannabinoid Hyperemesis Syndrome (CHS) Algorithm
Intussusception
Oak: GJ tube management
Hematology/Oncology
Infectious Disease
Acute Pharyngitis
Cellulitis
Influenza-like Illness
Measles
Rabies Prophylaxis
Endocrine
Neurology/Neurosurgery
Febrile Seizures
OAK Hemorrhagic Stroke
Ophthalmology
Orthopedics
Irritable Hip
Oak: Fascia Iliaca Block Protocol
Patient Resources/Navigation
Pulmonology
OAK - Asthma Exacerbations
Radiology
OAK: Intussusception
Surgery/Trauma
Minor Head Trauma
Oak: Appendicitis
Trauma Antibiotics
Trauma Antibiotics
Adult workflows
Adults presenting to the ED
OAK: Obstetric Emergencies
Mission Bay
Logistics
Adolescent
Adult
Airway: OHNS / Foreign Body
Gastrointestinal
Cannabinoid Hyperemesis Syndrome (CHS) Algorithm
Hematology/Oncology
Infectious Disease
Rabies Prophylaxis
Endocrine
Neurology/Neurosurgery
Nursing
Orthopedics
MB: Fascia Iliaca Block Protocol
Pulmonology
Surgery/Trauma
MB: Appendicitis
Transfer Workflows and Guidelines
GYN/REI Service Line
Burn Care
Education / Resources
Mission Bay Service Line
Internal
Law Enforcement
Supplemental Shift Compensation
Breadcrumb
Home
Oakland
Infectious Disease
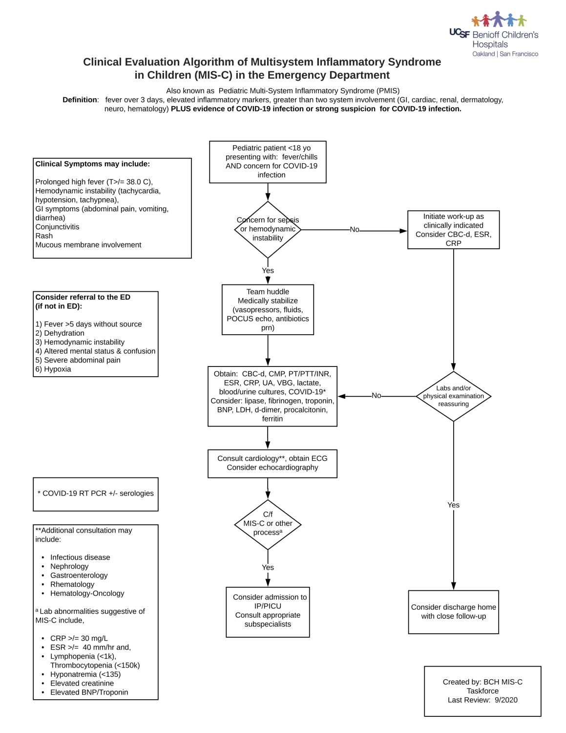
Oak: Multisystem Inflammatory Syndrome
Oak: Multisystem Inflammatory Syndrome
PRINTABLE PAGE
Keywords: COVID, MIS-C, MISC